모든 카테고리
홈> 뉴스> 응용 노트

공통 모드 케이블을 맞춤 제작할 때 고려해야 할 요소는 무엇인가요?

2025-09-22

회로를 설계할 때 표준 상용 공통 모드 콘이 요구 사항을 충족하지 못하면 제품의 맞춤 제작이 필요하게 됩니다. 이를 통해 일반 모드 질식 회로의 전자기 간섭(EMI) 억제, 구조 배치 및 기타 사양에 대한 요구를 충족시킬 수 있습니다. 공통 모드 콘을 맞춤 제작할 때에는 실제 적용 환경과 요구되는 성능 파라미터에 기반하여 적절한 재료와 제품 구조를 선택해야 합니다. 설계 엔지니어의 경우 이러한 요구사항을 명확히 정의하는 것이 중요한 첫 번째 단계입니다.

customize common mode choke.png

1.공통 모드 콘의 정의

먼저 공통 모드 콘이 무엇인지 분명히 해 봅시다.

정의: 공통 모드 쵸크(common mode choke)는 공통 모드 쵸크 코일로도 알려져 있으며, 단일 폐자로 자기 코어 위에 동일한 권선 수를 가진 두 개의 코일을 서로 반대 방향으로 감은 구조입니다. 이는 공통 모드 노이즈에 대해 매우 높은 임피던스를 나타내므로 공통 모드 간섭을 억제할 수 있습니다. 반대로, 차동 모드 신호에 대해서는 매우 낮은 임피던스를 가지므로 원하는 신호를 거의 억제하지 않습니다.

원칙: 오른손 법칙에 따르면, 공통 모드 전류가 권선을 흐를 때 두 코일에서 발생하는 자기장은 서로 강화됩니다(그림 1). 이로 인해 전체 부품이 높은 임피던스를 나타내며, 간섭 신호가 감쇠됩니다. 차동 모드 전류가 흐를 경우, 생성된 두 자기장은 크기는 같고 방향이 반대이므로 서로 상쇄됩니다(그림 2). 따라서 원하는 전류 신호는 그대로 통과할 수 있습니다. 이러한 이유로 공통 모드 쵸크는 공통 모드 간섭을 억제하기 위해 회로에 사용됩니다.

the magnetic fields reinforce each other.png

그림 1: 공통 모드 전류가 흐를 때, 자기장이 서로 강화됩니다

the magnetic fields cancel each other out.png

그림 2: 차동 모드 전류가 흐를 때, 자기장이 서로 상쇄됩니다

2.공통 모드 코일의 주요 분류

공통 모드 코일은 적용 분야에 따라 다음 두 가지 주요 범주로 나눌 수 있습니다: 신호선 공통 모드 코일 그리고 전원선 공통 모드 코일 .

다음은 공식 웹사이트에서 제공하는 공통 모드 코일의 표준 제품 분류 및 해당 제품 모델입니다. Codaca 페이지는 여기에서 접속할 수 있습니다:
https://www.codaca.com/Productsctr_Common-Mode-Choke.html

Signal Line Common Mode Choke.png

그림 3: 신호선 공통 모드 코일

Power Line Common Mode Inductor.png

그림 4: 전원 라인 공통 모드 인덕터

파라미터 해설:

코다카 CPSQ1515L-203 공통 모드 인덕터를 예로 들어  설명합니다:

표 1: CPSQ1515L-203 공통 모드 케어의 특성 파라미터

Characteristic Parameters.png

① 인덕턴스: 동일한 주파수 및 부수적 커패시턴스 조건에서, 더 큰 인덕턴스는 더 높은 임피던스를 초래한다.

② 임피던스: 더 높은 임피던스는 더 나은 필터링 성능을 제공한다. 임피던스 값은 주파수에 따라 달라진다.

Impedance vs. Frequency Characteristic Curve.png

그림 5: CPSQ1515L-203 공통 모드 케어의 임피던스 대 주파수 특성 곡선

③ 직류 저항(DCR): 직류 조건에서 인덕터 양단에 나타나는 저항; 일반적으로 DCR이 낮을수록 좋다.

④ 정격 전류: 인덕터가 과열 없이 연속적으로 흐를 수 있는 최대 전류.

⑤ 정격 전압: 회로가 정상 작동하도록 설계된 전압 등급.

⑥ 내전압 (내전압 강도): 권선이 특정 기간 동안 턴 사이 또는 권선 사이에서 파손 없이 견딜 수 있는 전압.

⑦ 작동 온도 범위: 구성 요소가 신뢰성 있게 작동할 수 있는 온도 범위.

3. 공통 모드 코일 커스터마이징의 6단계

표준 제품으로 고객의 요구를 충족시킬 수 없는 경우, 공통 모드 코일을 맞춤 제작해야 합니다. 공통 모드 코일의 정의, 원리 및 파라미터를 명확히 한 후, 이제 고객에게 적합한 제품을 어떻게 맞춤 제작하는지에 대해 설명하겠습니다.

단계 1: 고객 요구사항 명확화

적용 시나리오 분석: 공통 모드 코일의 사용 사례에 대한 종합적인 분석을 수행합니다. 여기에는 특정 응용 분야(제품 등급 — 자동차용 또는 산업용 — 을 결정함), 작동 전압, 전류, 작동 주파수 등이 포함됩니다. 이러한 요소들은 공통 모드 코일의 설계 및 선택에 직접적인 영향을 미칩니다.

단계 2: 특성 파라미터 결정

인덕턴스: 유도 리액턴스는 공통 모드 코일의 가장 중요한 성능 파라미터 중 하나이며, 그 응용에 직접적인 영향을 미친다. 요구되는 유도 리액턴스 값은 특정 사용 사례를 기반으로 결정되어야 한다.
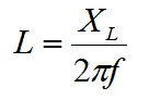
필터 회로에서 공통 모드 코일에 필요한 최소 유도 리액턴스를 계산하는 공식은 다음과 같다(패러지틱 커패시턴스는 무시함).

formula to calculate the minimum required inductance.png

어디 required impedance value.png주파수에서 요구되는 임피던스 값이다 frequency.png.

임페던스: 공통 모드 노이즈를 억제하는 공통 모드 코일의 능력은 임피던스와 밀접한 관련이 있다. 원하는 필터링 효과를 기반으로 적절한 임피던스 값을 결정해야 한다.

단계 3: 적절한 소재 및 제품 구조 선택

코어 재료: 코어는 코일의 자속 투과율을 높여 권선 내부의 자기 유도 강도를 증가시키고, 이를 통해 인덕턴스 값을 높이는 데 사용됩니다. 고자속 투과율을 갖는 페라이트, 비정질 또는 나노결정 소재와 같은 고자속 투과율 재료가 일반적으로 선택됩니다. 코어 재료의 선택은 인덕터의 성능에 직접적인 영향을 미치며, 적절한 재료를 사용하면 제품의 물리적 크기를 줄이는 데 도움이 될 수도 있습니다.

코일 재료: 코일은 일반적으로 구리선으로 감겨 있습니다. 감기 수와 와이어 지름은 요구되는 인덕턴스 및 유효 전류 값에 따라 설계됩니다.

 

인덕턴스 계산 공식은 다음과 같습니다:

formula for calculating inductance.png    

                 

μ 0진공의 투자율

μ e 코어의 상대 투자율

A e 코어의 유효 단면적

l e 코어의 유효 자로 길이

N 코일 감기 수

공식에서 알 수 있듯이, 제품의 소형화를 달성하기 위해서는 자속 투과율이 더 높은 코어를 사용하여 코어의 부피를 줄이는 방안을 고려할 수 있습니다.

구조 설계: 고객의 회로 기판 공간 배치에 따라 수직 또는 수평 구조의 제품을 합리적으로 설계하고, 스루홀 또는 표면실장 패키지 유형을 선택하여 코일이 정확하게 설치될 수 있도록 합니다.

단계 4: 안전 기준 참조

IEC 60664-1 또는 고객사 내부 기준과 같은 안전 기준을 참조합니다.

단계 5: 환경적 요인 고려

작동 환경은 인덕터의 전기적 성능에도 영향을 미칩니다. 공통 모드 코일을 맞춤 제작할 때는 실제 적용 환경에서 안정적으로 작동할 수 있도록 온도, 습도 및 냉각 방식과 같은 환경적 요인을 고려해야 합니다.

단계 6: 성능 테스트 및 최적화

맞춤 제작 후 공통 모드 코일은 인덕턴스, 임피던스 및 기타 매개변수 테스트를 포함한 성능 테스트를 거쳐야 하며, 테스트 결과가 요구 사항을 충족하지 못할 경우 설계를 최적화하여 적용 목적에 부합할 때까지 개선해야 합니다.

4.결론

요약하면, 적합한 공통 모드 코일(choke)을 맞춤 제작하기 위해서는 고객의 응용 요구 사항, 재료 및 구조, 성능 파라미터, 안전 요구사항, 환경적 요인, 그리고 성능 시험 및 최적화 등 여러 요소를 종합적으로 고려해야 합니다. 과학적인 분석과 합리적인 설계를 통해서만 맞춤형 공통 모드 코일이 실제 응용 분야의 요구를 충족시킬 수 있습니다.

코다카 일렉트로닉스의 R&D 팀은 공통 모드 코일의 맞춤 개발에 풍부한 경험을 보유하고 있습니다. 당사는 다양한 고객 응용 사례에 신속하게 적합한 제품 솔루션을 제공할 수 있습니다. 문의 및 추가 정보 요청을 환영합니다.